Please wait...
THANKU FOR BEING A PART OF OUR JOURNEY TO BRING "REVOLUTION IN EDUCATION"
We Genuinely APPRECIATE your PATIENCE

12
M: +1.00/-0.33

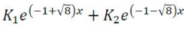
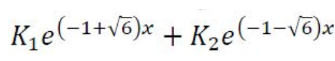
The general solution of the differential equation in terms of arbitrary and is

[GATE EC 2017 Set 2]
A
B
C
D