Please wait...
THANKU FOR BEING A PART OF OUR JOURNEY TO BRING "REVOLUTION IN EDUCATION"
We Genuinely APPRECIATE your PATIENCE

14
M: +3.00/-1.00

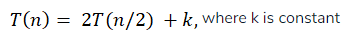
The recurrence relation that arises in relation with the complexity of binary search is

[ISRO CS May 2017]
A
B
C
D