Please wait...
THANKU FOR BEING A PART OF OUR JOURNEY TO BRING "REVOLUTION IN EDUCATION"
We Genuinely APPRECIATE your PATIENCE

30
M: +3.00/-1.00

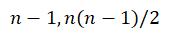
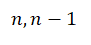
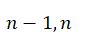
If there are  devices (nodes) in a network, what is the number of cable links required for a fully n conected mesh and a star topology respectively

[ISRO CS May 2017]
A
B
C
D