Please wait...
THANKU FOR BEING A PART OF OUR JOURNEY TO BRING "REVOLUTION IN EDUCATION"
We Genuinely APPRECIATE your PATIENCE

14
M: +1.00/-0.33

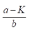
When a unit ramp input is applied to the unity feedback system having closed loop transfer function
the steady state error will be

[GATE EE 2017 Set 2]
A
B
C
D