Please wait...
THANKU FOR BEING A PART OF OUR JOURNEY TO BRING "REVOLUTION IN EDUCATION"
We Genuinely APPRECIATE your PATIENCE

12
M: +1.00/-0.33

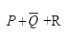
For a 3-input logic circuit shown below, the output Z can be expressed as
 

[GATE EE 2017 Set 2]
A
B
C
D