Please wait...
THANKU FOR BEING A PART OF OUR JOURNEY TO BRING "REVOLUTION IN EDUCATION"
We Genuinely APPRECIATE your PATIENCE

58
M: +2.00/-0.66

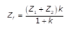
The positive, negative and zero sequence impedances of a three-phase generator are  and  respectively. For a line-to-line fault with fault impedance  the fault current is  where  is the fault current with zero fault impedance. The relation between  and  is

[GATE EE 2018]
A
B
C
D