Please wait...
THANKU FOR BEING A PART OF OUR JOURNEY TO BRING "REVOLUTION IN EDUCATION"
We Genuinely APPRECIATE your PATIENCE

7
M: +3.00/-0.00

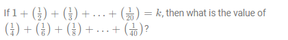
see image

[SSC CGL Tier-2 21-February-2018 Maths]
A
B
C
D