Please wait...
THANKU FOR BEING A PART OF OUR JOURNEY TO BRING "REVOLUTION IN EDUCATION"
We Genuinely APPRECIATE your PATIENCE

13
M: +1.00/-0.25

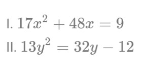
In each of these questions, two equations are given. You have to solve these equations and nd out the values of x and
y and :
Give answer
a:if x < y
b: if x > y
c: if x ≤ y
d: if x ≥ y
e: if x = y

See image

[IBPS RRB PO 2018]
A
B
C
D
E