Please wait...
THANKU FOR BEING A PART OF OUR JOURNEY TO BRING "REVOLUTION IN EDUCATION"
We Genuinely APPRECIATE your PATIENCE

54
M: +1.00/-0.25

Instructions

 

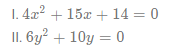
In these questions, two equations numbered I and II are given. You have to solve both the equations and mark the appropriate answer. Give answer

 

 

54

[IBPS PO 22-Oct-2016 With Answers]
A
B
C
D
E