Please wait...
THANKU FOR BEING A PART OF OUR JOURNEY TO BRING "REVOLUTION IN EDUCATION"
We Genuinely APPRECIATE your PATIENCE

16
M: +1.00/-0.33

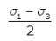
If  and  are the algebraically largest and smallest principal stresses respectively the value of the maximum shear stress is.

[GATE ME 2018 Set 1]
A
B
C
D