Please wait...
THANKU FOR BEING A PART OF OUR JOURNEY TO BRING "REVOLUTION IN EDUCATION"
We Genuinely APPRECIATE your PATIENCE

29
M: +2.00/-0.66

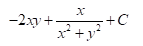
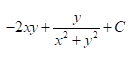
If  represents the complex potential for an electric field.
Given  then the function  is

[ESE (IES) ECE 2017 Non Technical]
A
B
C
D