Please wait...
THANKU FOR BEING A PART OF OUR JOURNEY TO BRING "REVOLUTION IN EDUCATION"
We Genuinely APPRECIATE your PATIENCE

184
M: +1.00/-0.00

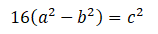
If  is tangent to the circle  then

[DSSSB TGT 2014 (Mathematics)]
A
B
C
D