Please wait...
THANKU FOR BEING A PART OF OUR JOURNEY TO BRING "REVOLUTION IN EDUCATION"
We Genuinely APPRECIATE your PATIENCE

51
M: +1.00/-0.00

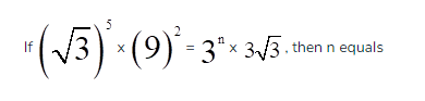
see img

[DSSSB PRT 2017]
A
B
C
D