Please wait...
THANKU FOR BEING A PART OF OUR JOURNEY TO BRING "REVOLUTION IN EDUCATION"
We Genuinely APPRECIATE your PATIENCE

26
M: +1.00/-0.33

26

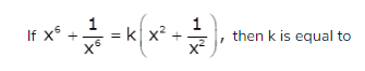
[CDS-II 2018 Elementary Math(PYSP)]
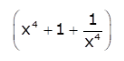
A
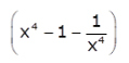
B
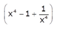
C
D