Please wait...
THANKU FOR BEING A PART OF OUR JOURNEY TO BRING "REVOLUTION IN EDUCATION"
We Genuinely APPRECIATE your PATIENCE

46
M: +1.00/-0.33

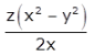
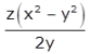
A »man can row at a speed of x km/hr in still water. If in a stream which is flowing at a speed of y km/hr it takes him z hours to row to a place and back, then what is the distance between the two places?

[CDS-I 2018 Elementary Maths(PYSP)]
A
B
C
D