Please wait...
THANKU FOR BEING A PART OF OUR JOURNEY TO BRING "REVOLUTION IN EDUCATION"
We Genuinely APPRECIATE your PATIENCE

65
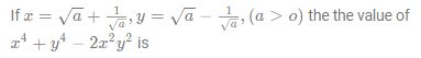
M: +2.00/-0.50

SEE IMAGE

[2016 SSC CGL10 Sep Tier-1]
A
B
C
D